近期,学院詹天荣教授课题组在电催化水分解领域取得新进展。相关成果以“Regulating Pt Electronic Properties on NiFe Layered Double Hydroxide Interface for Highly Efficient Alkaline Water Splitting”为题发表在国际知名期刊Applied Catalysis B: Environmental(中科院一区TOP期刊,影响因子22.1)。
化学院2019级硕士生谭磊(现为东华大学博士生)和东华大学博士研究生王海凤、博士生齐春红为共同第一作者,詹天荣教授和东华大学李小鹏研究员为共同通讯作者,yl23455永利集团为第一完成单位和通讯单位。

开发经济高效的阳极析氧反应(OER)和阴极析氢反应(HER)电催化剂是催化水电解的核心要素。一般认为,固体催化剂的理化性质,特别是电子结构,直接影响其表面吸附行为,从而决定活性位点的性能。载体与金属位点之间的电子转移由金属物种的费米能级与载体之间的平衡状态所决定。这种电子转移过程直接影响了金属位点中心的电荷密度和分布,从而对其催化性能产生重要的影响。

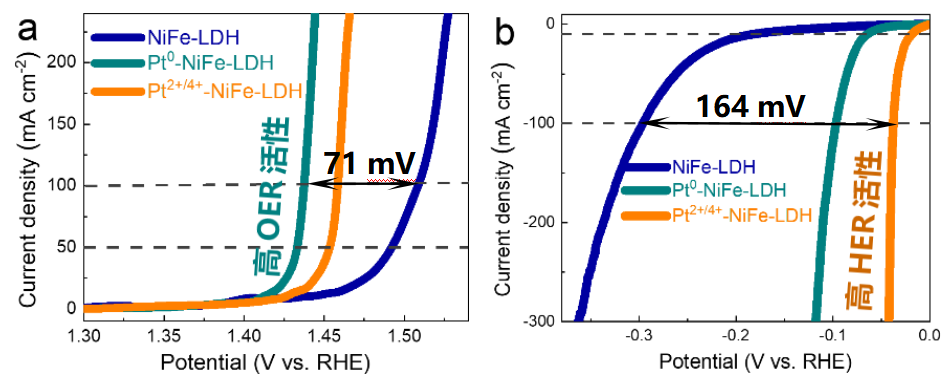
在本工作中,作者通过改变硼化和电沉积Pt种类的顺序的电子调控策略制备了不同Pt电子结构负载的镍铁层状双氢氧化物(NiFe-LDH)。通过调控Pt电子结构优化了金属-金属/金属-载体之间的相互作用,并解析了电子结构调控策略对阳极OER和阴极HER的构效关系。电化学测试表明,具有低价态Pt的催化剂(Pt0-NiFe-LDH,即先沉积Pt后硼化的催化剂B-Pt-NiFe-LDH)具有更优异的OER性能,在100 mA cm-2时过电位为208 mV,与NiFe-LDH相比,过电位降低了71 mV。而具有高价态Pt的催化剂(Pt2+/4+-NiFe-LDH,即先硼化后沉积Pt的催化剂Pt-B-NiFe-LDH)具有更优异的HER性能。在10 mA cm-2时的过电位仅有19 mV,与NiFe-LDH相比更是降低了164 mV的过电位,在大电流下性能优势更明显。这证明了Pt的电子结构对催化反应的性能产生了重要影响。

密度泛函理论(DFT)计算结果中,差分电荷密度图显示在这两个催化剂中,Pt周围有非常明显的电荷再分布;对于Pt0-NiFe-LDH,界面处的Pt有非常明显的给电子效应,而顶端的Pt有很明显的吸电子现象;对于Pt2+/4+-NiFe-LDH,由于Pt与O直接相连,O的电负性大于Pt,给电子效应更加明显。另外,可以看到两个催化剂界面处的Fe位点也有很明显的电荷迁移现象。态密度(DOS)图显示具有Pt组分的催化剂比纯NiFe-LDH在费米能级附近有更多的电子数,也证明了电子发生了重排。吉布斯自由能台阶图显示,这种电子结构调控降低了OER和HER的能垒,从而分别提高了这两种催化剂的OER和HER活性。

该体系下不同的电子结构对催化反应具有不同的促进效应,从而证明了通过对电子结构的调控可实现对催化剂电催化性能的优化调整。
文章链接:https://doi.org/10.1016/j.apcatb.2023.123352
该团队长期致力于电解(海)水制氢相关方面的研究,近期的其它相关成果分别发表在Advanced Functional Materials (2022, 120915), Applied Catalysis B: Environmental (2022, 303, 120915), Inorganic Chemistry (2022, 61, 15256-15265), Journal of Colloid and Interface Science (2022, 618, 141–148; 2022, 613, 349–357; 2022, 599, 370-380)等国际期刊上。
以上工作均得到了山东省自然科学基金和山东省重点研发计划等项目的支持。
